近日,全国每日报告新增阳性感染者数量波动上升,省内部分地区疫情外溢风险逐渐扩大,疫情防控压力持续增加。为严防疫情输入扩散,按照相关地区的通报情况,结合当前疫情防控形势变化:
一、请2022年11月2日以来有昭通市鲁甸县、红河州泸西县旅居史的来(返)昆人员,立即向所在社区或疫情防控部门报备,积极配合做好相关疫情防控措施。
二、即将来(返)昆的昭通市鲁甸县、红河州泸西县旅居史人员提前通过“昆明健康宝”小程序或电话方式向目的地社区报备,积极配合开展健康监测、核酸检测等相关疫情防控措施。
每个人是自己健康的第一责任人。不主动报备、隐瞒行踪、不配合落实疫情防控措施的来(返)昆人员,将根据相关法律法规严肃追究法律责任。
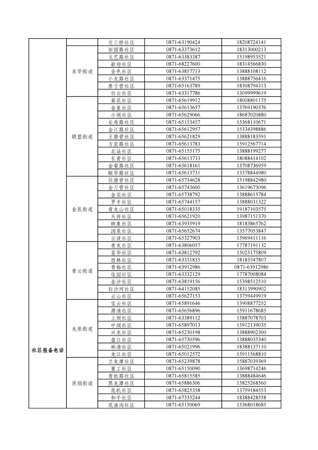
昆明市各县(市)区疫情防控社区报备电话
↓↓↓




































来源:昆明市应对新型冠状病毒感染肺炎疫情工作领导小组指挥部、掌上春城
责编 龚怡丹
审核 李元